The following equations can be used to calculate pH of a solution containing a weak acid (HA) and a weak base (B):
pH = -log [H3O+] equation (4)
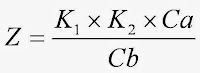
Where, Ca is the concentration of the acid in molar units (mole/ liter), Cb is the molar concentration of the base, K1 is the acid ionization constant of the compound acting as acid, K2 is the acid ionization constant for the conjugate acid of the compound acting as a base (i.e. Kw/ Kb).
The above equations can be simplified if the concentration of the acid is equal to that of the base (Ca = Cb) as described below:
Z = K1 × K2 equation (5)
D = (K1× K2)/ Cb equation (6)
Assuming that term D2 in equation (1) is much smaller than Z and sqrt(4 × K1 × K2) is much greater than D (true in many cases) then equation (1) reduces to the following:
Example. Calculate pH of a solution containing 0.02 M ammonium acetate.
Answer. Ammonium acetate completely dissociates in water to produce ammonium (acts as a weak acid) and acetate (acts as a weak base) ions. In this case the concentration of the salt, Cs, is equal to Ca (concentration of ammonium ions) and Cb (concentration of acetate ions) (Cs = Ca = Cb) . K1 is the acid ionization constant for the compound acting as a weak acid (ammonium, K1 calculated from Kb of ammonia). K2 is the acid ionization constant for the compound acting as a weak base (acetate, K2 is equal to Ka of acetic acid).
K1 = 1.00 ×10-14/ (1.74 ×10-5) = 5.75 ×10-10
K2 = 1.75 × 10-5
[H3O+] = sqrt(K1 × K2)
[H3O+] = sqrt(5.75 ×10-10 × 1.75 × 10-5)
[H3O+] = sqrt(1.01 ×10-14)
[H3O+] = 1.00 ×10-7
pH = -log (1.00 ×10-7) = 7.0
Related posts:




No comments:
Post a Comment
Thank you for your comment.